TOP
About ABC
Research Results
Public Research Programs
Graduate Education
News Archive
Gallery
Plant Reflectance Spectral Library
Contact
Careers
Support us by making a donation
Access
Japanese
TOP
About ABC
Research Results
Public Research Programs
Graduate Education
News Archive
Gallery
Plant Reflectance Spectral Library
Contact
Careers
Support us by making a donation
Access
Japanese
Plant Reflectance Spectral Library
Plant Reflectance Spectral Library
The characteristics that appear in the reflected light of plants provide clues to the search for life in space.
Reflectance spectra of various plants on Earth will be presented.
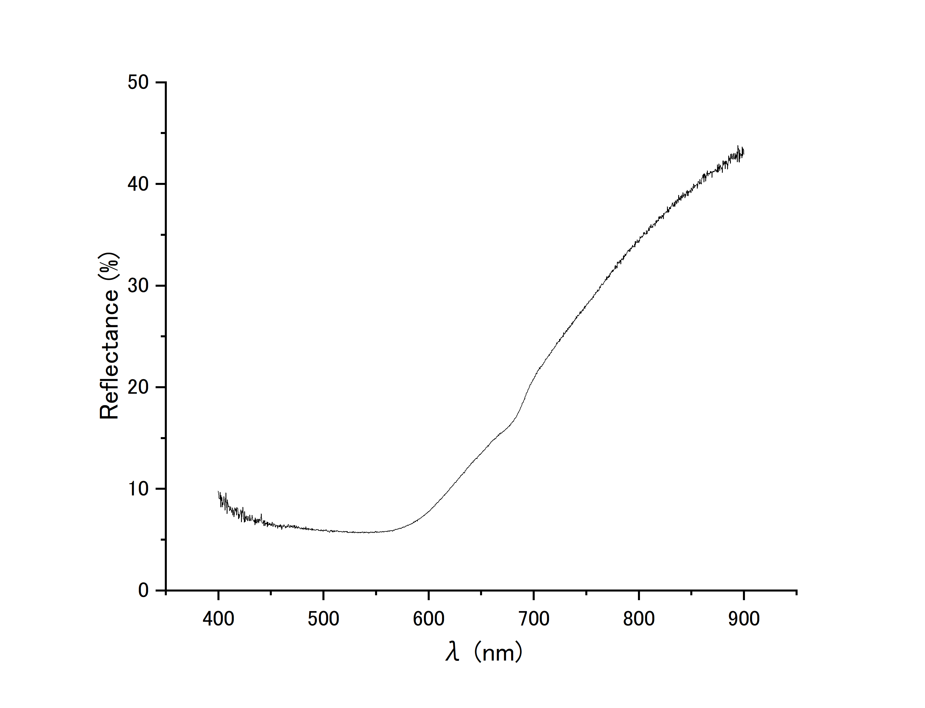
■Botanical Name
Lemna minor
■Measurement Equipment
FLAME-S-VIS-NIR-ES(Ocean Optics)
■Wavelength
400-900 nm
■Special note
None
Download data
■Botanical Name
Azolla filiculoides
■Measurement Equipment
FLAME-S-VIS-NIR-ES(Ocean Optics)
■Wavelength
400-900 nm
■Special note
None
Download data
■Botanical Name
Salvinia molesta
■Measurement Equipment
FLAME-S-VIS-NIR-ES(Ocean Optics)
■Wavelength
400-900 nm
■Special note
None
Download data
■Botanical Name
Limnobium laevigatum
■Measurement Equipment
FLAME-S-VIS-NIR-ES(Ocean Optics)
■Wavelength
400-900 nm
■Special note
None
Download data
■Botanical Name
Eichhornia crassipes
■Measurement Equipment
FLAME-S-VIS-NIR-ES(Ocean Optics)
■Wavelength
400-900 nm
■Special note
None
Download data
■Botanical Name
Nymphaea spp
■Measurement Equipment
FLAME-S-VIS-NIR-ES(Ocean Optics)
■Wavelength
400-900 nm
■Special note
None
Download data
■Botanical Name
Trapa japonica
■Measurement Equipment
FLAME-S-VIS-NIR-ES(Ocean Optics)
■Wavelength
400-900 nm
■Special note
None
Download data
■Botanical Name
Arabidopsis thaliana
■Measurement Equipment
FLAME-S-VIS-NIR-ES(Ocean Optics)
■Wavelength
400-900 nm
■Special note
None
Download data
■Botanical Name
Ligustrum lucidum
■Measurement Equipment
FLAME-S-VIS-NIR-ES(Ocean Optics)
■Wavelength
400-900 nm
■Special note
None
Download data
■Botanical Name
Kalanchoe laetivirens
■Measurement Equipment
FLAME-S-VIS-NIR-ES(Ocean Optics)
■Wavelength
400-900 nm
■Special note
None
Download data
■Botanical Name
Arctous alpina
■Measurement Equipment
FLAME-S-VIS-NIR-ES(Ocean Optics)
■Wavelength
400-900 nm
■Special note
green leaf
Download data
■Botanical Name
Arctous alpina
■Measurement Equipment
FLAME-S-VIS-NIR-ES(Ocean Optics)
■Wavelength
400-900 nm
■Special note
Red leaves
Anthocyanin+
Download data
■Botanical Name
Arctous alpina
■Measurement Equipment
FLAME-S-VIS-NIR-ES(Ocean Optics)
■Wavelength
400-900 nm
■Special note
Red leaves (dark purple)
Anthocyanin++
Download data
■Botanical Name
Arctous alpina
■Measurement Equipment
FLAME-S-VIS-NIR-ES(Ocean Optics)
■Wavelength
400-900 nm
■Special note
Red leaves (dark purple)
None
Download data
■Botanical Name
Arctous alpina
■Measurement Equipment
FLAME-S-VIS-NIR-ES(Ocean Optics)
■Wavelength
400-900 nm
■Special note
Red leaves (dark purple)
None
Download data
■Botanical Name
Arctous alpina
■Measurement Equipment
FLAME-S-VIS-NIR-ES(Ocean Optics)
■Wavelength
400-900 nm
■Special note
Red leaves (dark purple)
None
Download data
■Botanical Name
Gaultheria pyroloides
■Measurement Equipment
FLAME-S-VIS-NIR-ES(Ocean Optics)
■Wavelength
400-900 nm
■Special note
Red leaves (dark purple)
None
Download data
■Botanical Name
Gaultheria pyroloides
■Measurement Equipment
FLAME-S-VIS-NIR-ES(Ocean Optics)
■Wavelength
400-900 nm
■Special note
Red leaves (dark purple)
None
Download data
■Botanical Name
Gaultheria pyroloides
■Measurement Equipment
FLAME-S-VIS-NIR-ES(Ocean Optics)
■Wavelength
400-900 nm
■Special note
Red leaves (dark purple)
None
Download data
■Botanical Name
Betula ermanii
■Measurement Equipment
FLAME-S-VIS-NIR-ES(Ocean Optics)
■Wavelength
400-900 nm
■Special note
Red leaves (dark purple)
None
Download data
■Botanical Name
Betula ermanii
■Measurement Equipment
FLAME-S-VIS-NIR-ES(Ocean Optics)
■Wavelength
400-900 nm
■Special note
Red leaves (dark purple)
None
Download data
■Botanical Name
Alnus maximowiczii
■Measurement Equipment
FLAME-S-VIS-NIR-ES(Ocean Optics)
■Wavelength
400-900 nm
■Special note
Red leaves (dark purple)
None
Download data
■Botanical Name
Alnus maximowiczii
■Measurement Equipment
FLAME-S-VIS-NIR-ES(Ocean Optics)
■Wavelength
400-900 nm
■Special note
Red leaves (dark purple)
None
Download data
■Botanical Name
Arctous alpina
■Measurement Equipment
FLAME-S-VIS-NIR-ES(Ocean Optics)
■Wavelength
400-900 nm
■Special note
Red leaves (dark purple)
None
Download data
■Botanical Name
Arctous alpina
■Measurement Equipment
FLAME-S-VIS-NIR-ES(Ocean Optics)
■Wavelength
400-900 nm
■Special note
Red leaves (dark purple)
None
Download data
■Botanical Name
Arctous alpina
■Measurement Equipment
FLAME-S-VIS-NIR-ES(Ocean Optics)
■Wavelength
400-900 nm
■Special note
Red leaves (dark purple)
None
Download data